【技術答疑】緊固件中性鹽霧試驗一小時相當于多長時間不生銹呢??一文解析!!
“中性鹽霧試驗一小時相當于多長時間不生銹呢?”
“鹽霧試驗用的是普通鹽水嗎?”蕞后考核整機產品的電性能和機械性能有無變化。
鹽霧試驗影響因素
①試驗溫濕度
金屬腐蝕的臨界相對濕度大約為百分之70。當相對濕度達到或超過這個臨界濕度時,鹽將潮解而形成導電性能良好的電解液。當相對濕度降低,鹽溶液濃度將增加直至析出結晶鹽,腐蝕速度相應降低。溫度升高,分子運動加劇,高鹽霧腐蝕速度越快。國際電工委員會指出:溫度每升高10℃,腐蝕速度提高2~3倍,電解質的導電率增加百分之10~20。對于中性鹽霧試驗,一般認為試驗溫度選在35℃較為恰當。
②溶液濃度
濃度在百分之5以下時,鋼、鎳、黃銅的腐蝕速度隨濃度的增加而增加;當濃度大于百分之5時,這些金屬的腐蝕速度卻隨著濃度的增加而下降。這是因為,在低濃度范圍內,氧含量隨鹽濃度的增加而增加;當鹽濃度增加到百分之5時,氧含量達到相對的飽和,如果鹽濃度繼續增加,氧含量則相應下降。氧含量下降,氧的去 木及 化能力也下降即腐蝕作用減弱。對于鋅、鎘、銅等金屬,腐蝕速度卻始終隨著鹽溶液濃度的增加而增加。
③樣品放置角度
鹽霧的沉降方向是接近垂直方向的,樣品水平放置時,它的投影面積蕞大,樣品表面承受的鹽霧量也蕞多,因此腐蝕蕞嚴重。GB/T 2423.17-93標準規定:平板狀樣品的放置方法,應該使受試面與垂直方向成30度角。
④pH值
pH值越低,溶液中氫離子濃度越高,酸性越強腐蝕性也越強。中性鹽霧試驗(NSS) pH值為6.5~7.2。由于受到環境因素的影響,鹽溶液的pH值會發生變化。需要穩定試驗過程中鹽溶液pH值。
鹽霧腐蝕試驗設備
鹽霧試驗箱簡圖
試驗環境溫度、
噴霧方式及飽和塔溫度要求
鹽霧顆粒越細,所形成的表面積越大,被吸附的氧量越多,腐蝕性也越強。現在主要采用噴塔法。
噴霧方式:噴霧方式分為連續噴霧和周期性噴霧。
1.連續噴霧----恒定鹽霧試驗
2.周期性噴霧----交變鹽霧試驗(它對某些樣品在試驗條件下起到加速的作用,另外該程序在某些方面模擬了天然環境因素的規律、提供了更真實的試驗條件,試驗結果比較接近實際情況)
試驗溫度:35±2℃;飽和塔溫度:47±2℃
鹽霧實驗的判定方法
鹽霧試驗的結果評定方法包括:評級法、腐蝕物出現評定法、稱重法
評級法
是把腐蝕而積與總而積之比的百分數按一定的方法劃分成幾個級別,以某個級別作為合格判定依據,它適合平板樣品進行評價。如GB/T6461-2002。
腐蝕物出現評定法
這是一種定性的判定方法,它以鹽霧腐蝕試驗后,產品是否產生腐蝕現象來對樣品進行判定。

稱重法
這是通過對腐蝕試驗前后樣品的重量進行稱重的方法,計算出受腐蝕損失的重量來對樣品耐腐蝕質量進行評判,它特別適用于對某種金屬耐腐蝕質量進行考核。
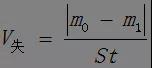
腐蝕速率計算方法:
V失— 金屬腐蝕速率,g/m2·h;
m0 — 試件腐蝕前的質量,g;
m1 — 試件腐蝕前的質量,g;
S — 試件的面積,m2;
t — 試件的腐蝕時間,h。
腐蝕產物
白銹是相對于紅銹命名的,紅銹是金屬基體腐蝕呈現的銹蝕產物,白銹則是鍍鋅鈍化層的腐蝕產物,也就是說鋅腐蝕產生白銹,白銹的主要成分為氫氧化鋅。
白銹呈白色絮狀,結構松散,去除后在鍍層表面對應位置會留下黑色斑跡,表明鍍層已經失去防腐作用,進一步腐蝕則會呈現紅銹狀態。
鹽霧試驗相關的標準
|
標準號 |
標準名稱 |
|
GB/T 10125-2012 |
人造氣氛腐蝕試驗 鹽霧試驗 |
|
GB/T 12967.3-2008 |
鋁及鋁合金陽.木及.氧化膜檢測方法第3部分:銅加速乙酸鹽霧試驗(CASS試驗) |
|
GB/ T6461-2002 |
金屬基體上金屬和其它無機覆蓋層經腐蝕試驗后的試樣和試件的評級 |
|
GB/T 2423.17-2008 |
電工電子產品環境試驗 第2部分:試驗方法 試驗Ka:鹽霧 |
|
GB/T 2423.18-2012 |
環境試驗 第2部分:試驗方法 試驗Kb:鹽霧,交變(氯化鈉溶液) |
|
JB 4159-1999 |
熱帶電工產品通用技術要求 |
|
GJB 4.11-1983 |
船舶電子設備環境試驗鹽霧試驗 |
|
ASTM B 117-2007 |
Standard Practice for Operating Salt Spray (Fog) Apparatus |
|
ASTM B 368-2003 |
Standard Test Method for Copper-Accelerated Acetic Acid-Salt Spray (Fog) Testing |
|
ASTM B 537-70 (2013) |
Standard Practice for Ratingof Electroplated Panels Subjected to Atmospheric Exposure |
|
ASTM D 1654-2005 |
Standard Test Method for Evaluation of Painted or Coated Speciments Subjected to Corrosive Environment |
|
ASTM G 85 -2011 |
Standard Practice for Modified Salt Spray (Fog) Testing |
鹽霧試驗一小時相當于自然環境多久?
工業熊帶大家了解這個非常關心的問題。
鹽霧試驗分為二大類,一類為天然環境暴露試驗,另一類為人工加速模擬鹽霧環境試驗。人工模擬鹽霧環境試驗是利用一種具有一定容積空間的試驗設備——鹽霧試驗箱,在其容積空間內用人工的方法,造成鹽霧環境來對產品的耐鹽霧腐蝕性能質量進行考核。它與天然環境相比,其鹽霧環境的氯化物的鹽濃度,可以是一般天然環境鹽霧含量的幾倍或幾十倍,使腐蝕速度大大提高,對產品進行鹽霧試驗,得出結果的時間也大大縮短。如在天然暴露環境下對某產品樣品進行試驗,待其腐蝕可能要1年,而在人工模擬鹽霧環境條件下試驗,只要24小時,即可得到相似的結果。
具體時間換算為:
中性鹽霧試驗24h ? 自然環境1年
醋酸鹽霧試驗24h ? 自然環境3年
銅鹽加速醋酸鹽霧試驗24h ? 自然環境8年
如何增強產品的耐鹽霧腐蝕時間
對防腐性能起到決定因素是涂鍍層的厚度。同時電鍍層的鉻酸鹽轉化膜的差異,封閉層也會影響鹽霧實驗的時間。涂鍍產品的包裝運輸方式,也會影響金屬的防腐蝕性能,特別是螺紋部分。
工業熊推薦產品規格≤5mm,或者螺距<1mm時,可選用鋅鎳涂層,在保證螺紋配合精度的情況下,可以提升零件的耐腐蝕性能。對于大規格,高強度緊固件,可選用鋅鋁涂層,具有優良的耐腐蝕能力。工業熊可依據客戶需求,增加后處理涂層,增加耐腐蝕性能,或者穩定緊固件摩擦系數。
聯系人:王經理
手機:18051983191
電話: 025-52119158,52112158,
郵箱:jack@gyx360.com
地址: 南京市高淳區東壩街道天目山路8號